ACCDIS English Network
Trending
News

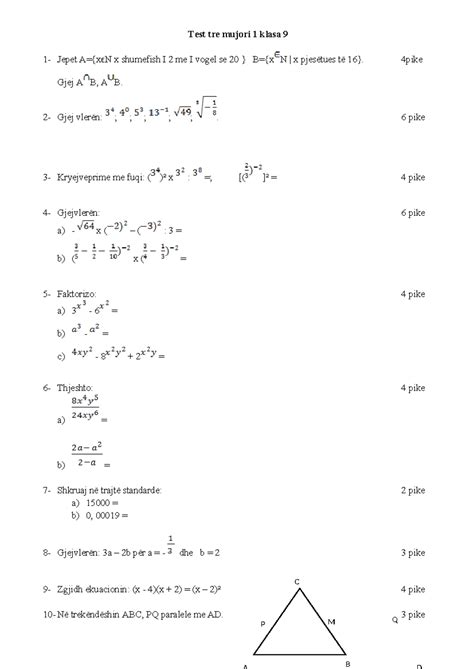
Everything Inside The Official Testi I Arritshmeris Klasa 9 - ACCDIS English Network

Content is currently being updated. Please check back later.

ACCDIS English Network
ACCDIS English Network
1 min read
Everything Inside The Official Testi I Arritshmeris Klasa 9 - ACCDIS English Network
Everything Inside The Official Testi I Arritshmeris Klasa 9 - ACCDIS English Network

Content is currently being updated. Please check back later.

Advertisement
Detail view