ACCDIS English Network
Trending
News

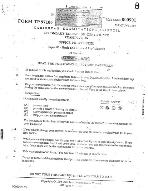
Cxc Office Administration Past Papers With Answers Are Out Now For Students - ACCDIS English Network

Jul 16, 2012 · I am concerned about my CXC qualifications and what will become of them when i migrate to the US after my CR1 visa is obtained.

ACCDIS English Network
ACCDIS English Network
1 min read
Cxc Office Administration Past Papers With Answers Are Out Now For Students - ACCDIS English Network
Cxc Office Administration Past Papers With Answers Are Out Now For Students - ACCDIS English Network

Jul 16, 2012 · I am concerned about my CXC qualifications and what will become of them when i migrate to the US after my CR1 visa is obtained.

I wish to further my education by enrolling in a University to.

Advertisement
Detail view